杂质如何被精准捕捉?
有机合成反应,远非教科书上那个简洁明了的箭头所示。在实际的合成过程中,除了我们期望的主反应,往往还潜藏着一系列副反应。这些副反应产生的杂质,不仅可能影响反应的纯度和产率,在药物合成中更可能带来安全隐患。
因此,识别、预测并控制这些杂质,成为了化学家们日常工作中的一项关键挑战。
为什么合成中总有“不速之客”?
每一个有机分子都可能存在多个反应位点。在主反应条件下,这些位点并非完全“安分守己”,它们也可能发生反应,与主反应进行竞争。此外,反应条件、催化剂、溶剂、温度、水分等因素,都可能引发出乎意料的化学行为。
因此,真正的合成工艺研究,不仅要追求高产率,更要理解反应机理、掌握杂质谱系,从而设计出更纯净、更安全、更经济的合成路线。
实战案例:杂质预测如何助力药物合成?
案例一:维格列汀合成中的“隐形”杂质
在维格列汀一步关键的 Ullmann-Coupling 反应中发现了一些微小的杂质 1。
ChemAIRS的杂质预测模块基于反应机理并考虑底物结构中的特殊官能团,可以预测出文献分析生成的杂质。如下图所示,杂质 07 是在反应过程碘与溴发生交换产生的,可以进一步向产品转化,也可能做被碘交换后没有彻底消耗而被检测到。杂质 08 是因为催化的配体也可能参与 C-N 偶联产生。而杂质 06 依据 Ullmann 偶联的反应机理,其为还原脱卤的副产物,该杂质在金属偶联的多数反应中较为常见。09 号杂质在体系存在水分的情况下容易产生。

文献中提及的以下杂质在杂质预测中均被预测到。

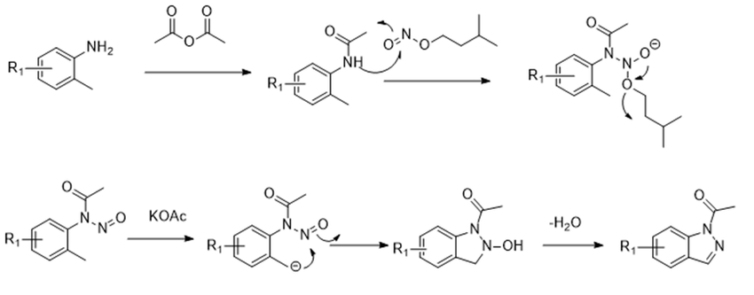
案例二:Zavegepant 合成中的环合挑战
Zavegepant 是一种强效降钙素基因相关肽(CGRP)受体拮抗剂。吲唑环的关环反应是其合成过程中的核心步骤 2。

吲唑,又称苯并吡唑,作为药物化学中常用的重要结构。苯环上可以连接其他基团,吡唑上 N-H 可以作为一个反应团和其他结构连接。其反应机理和历程如下图所示。


基于上述反应的机理和历程,依据杂质产生的途径和形成规律,ChemAIRS 能预测出吡唑异构体杂质(编号 26),同时预测出产物乙酰化杂质(编号 27)。产物可能进一步与重氮中间态发生反应生成偶氮杂质(编号 28),同时原料在进行重氮化过程中可能脱氨基或水解生成杂质(编号 29)和酚羟基杂质(编号 23)。

案例三:文拉法辛氰基还原的“副作用”
文拉法辛 ,即(RS)-1-[2-(二甲氨基)-1-(4 - 甲氧基苯基)乙基] 环己醇盐酸盐(化合物 1),属于环烷醇乙胺类化合物骨架药物,是首个具有双重作用机制的 5 - 羟色胺(血清素)和去甲肾上腺素再摄取抑制剂(SNRI),临床用于治疗抑郁症和焦虑症。该药物由惠氏实验室(Wyeth laboratories)研发,目前以商品名 “怡诺思”(Effexor)上市销售 3。
在氰基还原为氨基的反应中,除了目标产物,还可能发生过度还原、脱水、或烯键形成等副反应。

ChemAIRS 能预该反应条件下的氰基被还原同时羟基被脱去形成的烯键的杂质(06),与文献报道一致。该副产物中的烯键可能进一步被还原生成杂质(26,也为文献报道),同时也预测了脱水和氰基未还原或未还原的异构体杂质(04,05)。

文献提及的杂质 06 和 07 被杂质预测模块成功捕捉。

“预测之眼”:从机理出发,看见杂质的轨迹
上述案例展示了一种共同的策略:基于反应机理与官能团特性,系统推演可能的副反应路径。
这种思维方式,就像是给化学家装上了一双“预测之眼”。它不仅帮助研究人员在工艺开发早期洞察潜在的杂质来源,从而提前规避风险,更能引导他们有针对性地优化反应条件、筛选试剂、乃至重新设计合成路线。最终,实现对杂质谱的主动掌控,确保合成工艺的可靠与安全。
杂质预测,是现代有机合成工艺开发中不可或缺的一环。它融合了反应机理、官能团化学、计算化学与实验验证,将合成从“经验试探”更多转向“理性设计”。
随着辅助预测工具与人工智能技术的发展,化学家们正在获得越来越强大的“合成预见力”。这不仅加快了研发进程,更从根本上提升了药物与材料合成的质量、安全性与经济性。在分子制造的征途上,看清那些“看不见的杂质”,或许正是通往更纯净、更精准化学未来的关键一步。
参考文献
1. Org. Process Res. Dev. 2019, 23, 12, 2758-2763
2. Org. Process Res. Dev. 2012, 16, 1953−1966
3. Org. Process Res. Dev. 2011, 15, 1392-1395